Dynamique moléculaire à la femtoseconde: un nouveau regard sur les réactions photochimiques

Publié par Redbran,
Source: CNRS-INCAutres langues:
2
Restez toujours informé: suivez-nous sur Google Actualités (icone ☆)

Une équipe du Laboratoire de Chimie Physique Matière et Rayonnement (CNRS/Sorbonne Université) a mené des expériences pompe-sonde à très haute résolution en temps, en collaboration avec une équipe suédoise, italienne et croate. Ces expériences donnent ainsi des informations détaillées sur les processus photochimiques, à l'échelle de quelques dizaines de femtosecondes. Une meilleure compréhension qui aidera à mieux contrôler ce type de réactions, nombreuses en chimie naturelle comme artificielle. Ces travaux sont publiés dans Nature Communications.

Les processus photochimiques sont légion en chimie, aussi bien naturelle (photosynthèse, vision animale) qu'artificielle (photo-polymérisation, photo-catalyse). Ils mettent en jeu des échelles de temps extrêmement courtes, qu'une équipe du Laboratoire de Chimie Physique Matière et Rayonnement (CNRS/Sorbonne Université) (1) vient de rendre observables.


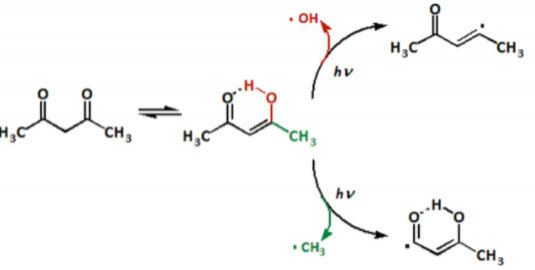
Certaines voies de fragmentation de l'acétylacétone.
©Marc Simon

En effet, tous ces processus ont en commun une étape d'initiation, l'activation de la réaction chimique par absorption de lumière: la structure électronique et la géométrie de la molécule irradiée sont modifiées, permettant d'enclencher le mécanisme de la réaction en quelques dizaines de femtosecondes (une seconde contenant un million de milliards de femtosecondes – 1015 fs).

Pour étudier, comprendre et contrôler ce type de réaction, il faut pouvoir suivre les chemins réactionnels sur de telles échelles de temps. C'est ce que permettent aujourd'hui les expériences pompe-sonde résolues en temps mises en place par les équipes de recherche. La pompe (un laser ultraviolet) permet d'initier la réaction et la sonde (produite par le laser à électron libre FERMI) de suivre l'évolution du système à différents temps contrôlés très précisément par le délai entre la pompe et la sonde. Les scientifiques ont, par exemple, pu suivre la dynamique du réarrangement et de la fragmentation d'une molécule d'acétylacétone après photoexcitation, sur une échelle de temps de l'ordre de 50 fs. Souvent utilisée comme solvant, l'acétylacétone est une molécule stable qui présente des applications potentielles aussi bien médicales qu'environnementales.

Basée sur des spectres à haute résolution et appuyée par des calculs de haut niveau, l'approche ici proposée est la façon la plus performante d'élucider les processus photoinduits fondamentaux tels que la photosynthèse, la production d'énergie photovoltaïque et la vision.


Principales voies de réarrangement et surfaces d'énergie potentielle impliquées dans la fragmentation de la molécule d'acétylacétone après photoexcitation.
©Marc Simon

Note:
(1) en collaboration avec des équipes de chercheurs des universités d'Uppsala et de Göteborg (Suède), de l'institut Ruđer Bošković à Zagreb (Croatie), du laboratoire Elettra-FERMI et de l'université de Trieste (Italie)


Références publication:
R. J. Squibb, M. Sapunar, A. Ponzi, R. Richter, A. Kivimäki, O. Plekan, P. Finetti, N. Sisourat, V. Zhaunerchyk, T. Marchenko, L. Journel, R. Guillemin, R. Cucini, M. Coreno, C. Grazioli, M. Di Fraia, C. Callegari, K. C. Prince, P. Decleva, M. Simon, J. H. D. Eland, N. Došlić, R. Feifel, M. N. Piancastelli
Acetylacetone photodynamics at a seeded free-electron laser
Nature Communications – Janvier 2018
DOI: 10.1038/s41467-017-02478-0

Contacts chercheurs:
Marc Simon, LCPMR UMR7614, Sorbonne Université
Page générée en 0.381 seconde(s) - site hébergé chez Contabo
Ce site fait l'objet d'une déclaration à la CNIL sous le numéro de dossier 1037632
A propos - Informations légales - Signaler un contenu
Version anglaise | Version allemande | Version espagnole | Version portugaise