Radical de Bring - Définition

Source: Wikipédia sous licence CC-BY-SA 3.0.
La liste des auteurs de cet article est disponible ici.

Radicaux de Bring

Soit une fonction de variable complexe t, les racines x de

x^5 - 5x - 4t = 0\,

se ramifient en points où le discriminant 800000(t^4 - 1)\, est zéro, qui est significatif à 1, -1, i et -i. La monodromie autour de n'importe quel point ramifié échange deux des racines, laissant le reste fixé. Pour les valeurs réelles de t plus grandes ou égales à -1, la plus grande racine réelle est une fonction de t augmentant de façon monotone à partir de 1; nous pouvons appeler cette fonction le radical de Bring, notée \operatorname{BR}(t) . En prenant une coupure le long de l'axe réel de - \infty\, jusqu'à -1, nous pouvons étendre le radical de Bring au plan complexe entier, en fixant la valeur le long de la coupure pour qu'elle soit obtenue par prolongement analytique autour du demi-plan supérieur.

Plus explicitement, soit

a_0 = 3, a_1 = {1\over100}, a_2 = -{27\over400000}, a_3 = {549/800000000} , avec a_i\, défini par la relation de récurrence
a_{n+4} = -{\frac {185193}{5278000}}\,{\frac {2\,n+5}{n+4}}a_{n+3}
-{\frac {9747}{ 52780000}}\,{\frac {10\,{n}^{2}+40\,n+39}{ \left( n+4 \right)  \left(  n+3 \right) }}a_{n+2}
-{\frac {57}{52780000}}\,{\frac { \left( 2\,n+3  \right)  \left( 10\,{n}^{2}+30\,n+17 \right) }{ \left( n+4 \right)   \left( n+3 \right)  \left( n+2 \right) }}a_{n+1}
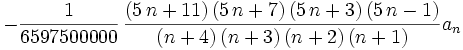
-{\frac {1}{6597500000}}\,{\frac { \left( 5\,n+11 \right)  \left( 5\,n+7 \right)  \left( 5\,n+3  \right)  \left( 5\,n-1 \right) }{ \left( n+4 \right)  \left( n+3  \right)  \left( n+2 \right)  \left( n+1 \right) }}a_n\, .

Pour les valeurs complexes de t tel que |t - 57| < 58\, , nous avons alors

\operatorname{BR}(t) = \sum_{n=0}^\infty a_n (t-57)^n,\,

qui peut alors être prolongé analytiquement de la manière décrite.

Les racines de x^5 - 5x - 4t = 0\, peuvent être maintenant exprimés en termes de radical de Bring radical sous la forme

r_n = i^{-n} \operatorname{BR}(i^n t)

pour n allant de 0 à 3, et

r4 = − r0r1r2r3

pour la cinquième racine.

Page générée en 0.237 seconde(s) - site hébergé chez Contabo
Ce site fait l'objet d'une déclaration à la CNIL sous le numéro de dossier 1037632
A propos - Informations légales - Signaler un contenu
Version anglaise | Version allemande | Version espagnole | Version portugaise