Proportion d'argent - Définition

Source: Wikipédia sous licence CC-BY-SA 3.0.
La liste des auteurs de cet article est disponible ici.

Introduction

La proportion d'argent est une constante mathématique obtenue à partir de la racine carrée de deux et est aussi un nombre irrationnel. Ce nom fait référence à la proportion dorée.

Définition

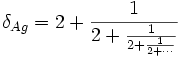
La proportion d'argent, notée δAg, vaut 1 + \sqrt{2} . Dès lors, \delta_{Ag} \simeq 2,414 213 562 373 095 048 801 688 724 210 \cdots

Elle peut aussi être écrite comme une fraction continue [2, 2, 2, 2,…]::

\delta_{Ag} = 2 + \frac{1}{2 + \frac{1}{2 + \frac{1}{2 + \cdots}}}

Les moyennes d'argent

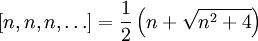
Les fractions continuées plus générales [n,n,n,\dots]=\frac{1}{2}\left(n+\sqrt{n^2+4}\right) sont appelées les moyennes d'argent. La proportion d'or correspond à la moyenne d'argent pour n = 1, tandis que la proportion d'argent est la moyenne d'argent pour n = 2. Une table contenant les valeurs des cinq premières moyennes d'argent peut être trouvée en référence.

La propriété ci-dessus pour les puissances de la proportion d'argent peut-être considérée comme une conséquence d'une propriété des puissances des moyennes d'argent.

Pour une moyenne d'argent Ag de m notée Agm ( Ag_m=[n,n,n,\dots] ), la propriété peut être généralisée comme suit :

Ag_{m}^n = K_{n}Ag_{m} + K_{(n-1)}

Kn = mK(n − 1) + K(n − 2)

En utilisant les conditions initiales K0 = 1 et K1 = m, cette relation de récurrence devient:

K_n = \frac{1}{\sqrt{m^2 + 4}} {(Ag_{m}^{n+1} - {(m-Ag_{m})}^{n+1})}

La moyenne d'argent Ag de m possède aussi la propriété suivante

\frac1{Ag_m} = Ag_{m}-m

ce qui implique que l'inverse d'une moyenne d'argent a la même partie décimale que la moyenne d'argent correspondante.

Si nous décomposons la moyenne d'argent Ag de m telle que:

Agm = a + b

a est la partie entière de Agm et b la partie décimale de Agm, alors nous avons:

Ag_{m}^2 = a^2 + mb + 1.

Parce que pour tout m supérieur à 0, la partie entière de Agm est égale à m et a = m. Pour m > 1, nous avons alors

Ag_{m}^2 = ma + mb + 1
Ag_{m}^2 = m(a+b) + 1
Ag_{m}^2 = m(Ag_{m}) + 1

Par conséquent la moyenne d'argent de m est une solution de l'équation :

x2mx − 1 = 0

Il peut être aussi utile de noter que la moyenne d'argent Ag de m est l'inverse de la moyenne d'argent Ag de m

\frac1{Ag_m} = Ag_{(-m)} = Ag_m - m.

Propriétés

En approximation diophantienne, la suite des parties fractionnaires des :

xn, pour n \geqslant 1

est équidistribuée modulo un, pour presque tous les nombres réels x > 1. La proportion d'argent est une exception.

Les puissances les plus basses de la proportion d'argent sont:

 \delta_{Ag}^0 = 1
 \delta_{Ag}^1 = \delta_{Ag} + 0
 \delta_{Ag}^2 = 2\delta_{Ag} + 1
 \delta_{Ag}^3 = 5\delta_{Ag} + 2
 \delta_{Ag}^4 = 12\delta_{Ag} + 5

Les puissances se succèdent en suivant le modèle:

\delta_{Ag}^n = K_n\delta_{Ag} + K_{(n-1)}

Kn = 2K(n − 1) + K(n − 2)

Par exemple, en utilisant cette relation:

\delta_{Ag}^5 = 29\delta_{Ag} + 12

En utilisant K0 = 1 et K1 = 2 comme conditions initiales, une formule analogue à celle de Binet se déduit de la résolution de la récurrence

Kn = 2K(n − 1) + K(n − 2)

ce qui donne

K_n = \frac{1}{2\sqrt{2}} {(\delta_{Ag}^{n+1} - {(2-\delta_{Ag})}^{n+1})}

Les rectangles d'argent

Un rectangle de proportion (rapport de la longueur par la largeur) égale à la proportion d'argent est parfois appelé rectangle d'argent par analogie avec les rectangles d'or.

De façon confuse, « rectangle d'argent » peut aussi désigner un rectangle de proportion \sqrt{2} , aussi connu sous le nom de rectangle A4 en référence au format de papier A4 respectant la norme ISO 216.

Tous les rectangles d'argent ont la propriété qu'en retirant consécutivement deux carrés d'eux-mêmes ils donnent un plus petit rectangle d'argent. Plus précisément, en retirant le plus grand carré possible d'un rectangle d'argent nous obtenons un rectangle d'une autre sorte, puis en recommençant une fois de plus nous obtenons un rectangle d'argent donc de la même forme que l'original mais plus petit d'un facteur {\sqrt{2}-1} .

Page générée en 0.369 seconde(s) - site hébergé chez Contabo
Ce site fait l'objet d'une déclaration à la CNIL sous le numéro de dossier 1037632
A propos - Informations légales - Signaler un contenu
Version anglaise | Version allemande | Version espagnole | Version portugaise