En physique, l’interaction d'échange est un effet quantique qui accroît ou décroît l'énergie d'un ou plusieurs électrons lorsque leurs fonctions d'ondes se superposent. Conséquence du principe d'exclusion de Pauli, cette modification d'énergie est le résultat de l'identité des particules, de la symétrie d'échange et de la force électrostatique. Les effets de l'interaction d'échange furent découverts de manière indépendantes par Heisenberg et Dirac en 1926.
      L'interaction d'échange est aussi appelée force d'échange, mais est à distinguer des forces d'échange produites par l'échange de porteurs de forces, comme la force électromagnétique produite entre deux électrons par l'échange d'un photon, ou la force forte entre deux quarks produite par l'échange d'un gluon.
Les particules quantiques sont classées soit comme bosons, soit comme fermions. Le théorème spin-statistique de la théorie quantique des champs stipule que toutes les particules à spin demi-entier se comportent comme des fermions et toutes les particules à spin entier se comportent comme des bosons. Plusieurs bosons peuvent occuper le même état quantique ; cependant, en raison du principe d'exclusion de Pauli, deux fermions ne peuvent occuper le même état quantique simultanément. Les électrons ayant un spin demi-entier, ils sont des fermions. Ceci signifie que la fonction d'onde globale d'un système doit être antisymétrique lorsque deux électrons sont échangés.
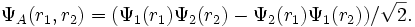
      Si l'on considère un système à deux électrons, on peut essayer de modéliser l'état de chaque électron en postulant tout d'abord l'indépendance de leur comportement, et en considérant leurs fonctions d'ondes respectives dans l'espace en Ψ1(r1) pour le premier électron et en Ψ2(r2) pour le second. On suppose que Ψ1 et Ψ2 sont orthogonales, et que chacune correspond à une valeur propre de l'énergie pour son électron. Si maintenant le système complet est de spin total 1, la partie de la fonction d'onde associée au spin est symétrique, et la partie spatiale de la fonction d'onde du système doit être antisymétrique pour obtenir une fonction d'onde globale antisymétrique. Ceci peut être obtenu en antisymétrisant le produit des fonctions d'ondes spatiales pour la position spatiale considérée :
 
Pour un système dans un état de spin nul, la fonction d'onde de spin est antisymétrique et la partie spatiale de la fonction d'onde globale doit être symétrique :
 
Si l'on suppose que l'énergie d'interaction entre les deux électrons, VI(r1,r2), est symétrique par rapport à l'échange des 2 électrons, et que l'on se restreint à l'espace vectoriel balayé par ΨA et ΨS, alors chacune de ces fonctions d'ondes donnera des valeurs propres pour l'énergie du système, et les différences entre leurs énergies sera :
 
Si l'on prend en compte les différents spins reliés à ces valeurs propres, on peut modéliser cette différence en ajoutant un terme d'interaction spin-spin :
 
à l'hamiltonien, où S1 et S2 sont les opérateurs de spin des deux électrons. Ce terme, parfois appelé hamiltonien d'Heisenberg, donne une forme de l'interaction d'échange. Malgré sa forme, il n'est pas de nature magnétique. Dans des matériaux comme le fer, cet effet favorise les électrons à spins parallèles et est donc une cause de ferromagnétisme.