Échelle de temps en mécanique classique - Définition

Source: Wikipédia sous licence CC-BY-SA 3.0.
La liste des auteurs de cet article est disponible ici.

Echelles de temps et mouvement keplerien

Néanmoins, en 2006, on a bien compris que le problème mécanique newtonien était "simplement" de résoudre des équations différentielles de la variable t , dit temps absolu. Et depuis 300 ans, les mathématiciens ne se sont pas privés de changer de variable pour résoudre ces équations, le plus aisément possible (cf mouvement keplerien):

méthode de Clairaut-Binet

Voici une échelle de temps particulièrement utile pour le mouvement avec Force centrale: il s'agit du changement choisi par Clairaut, puis enseigné par Binet à l'École Polytechnique : comme le champ est central, la deuxième loi de Kepler indique que, si r(t) non nul, l'angle polaire, θ(t), est fonction monotone croissante de t : on peut donc le choisir comme échelle de temps (cela serait le temps solaire vrai si l'inclinaison de la terre était nulle). Soit :

  • dT = d\theta = {C \over r^2}\cdot dt = C u^2 \cdot dt en ayant posé u := 1/r
  • un calcul mène à exprimer le vecteur vitesse :

\vec V = \vec u_r \cdot Cu' + \vec u_{\theta}\cdot Cu

  • de même le vecteur accélération :

\vec a = -\vec u_r \cdot C^2u^2 (u + u^{''})

Cela convient "miraculeusement bien" pour la force newtonienne -GM m u², car on est conduit à une équation d'oscillateur harmonique :

u + u^{''} = {GM \over C^2} = 1/p

d'où la solution de Kepler u = 1/p + 1/p.e.cos(T-To).

Mais cette méthode ne convient pas si C = 0 (cas du choc).

Méthode de Levi-Civita

On préfère donc parfois choisir une échelle de temps dite régularisante , qui dans le cas de Newton , est appelée échelle de Levi-Civita (bien qu'elle fût connue depuis longtemps. On parle aussi d'échelle KS (Kustaanheimo et Stiefel)) : dT = dt/r, ce qui évite la divergence des intégrales quand r tend vers zéro.

En fait, pour simplifier, on s'intéresse au cas elliptique ; on prendra donc dT = sqrt(-2E)dt/r = Kdt/r (de telle sorte que ce temps T soit adimensionné) : reprenant alors les calculs du cas de changement d'échelle non-affine , on voit qu'il vient :

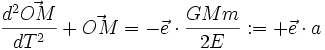
d OM /dT = v r/K ; puis {d^2\vec {OM} \over dT^2} = {r^2 \over K^2}({-GM\vec u \over r^2}) + \vec v {dr \over dt}{r \over K^2} .

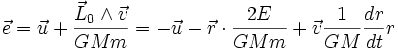
Or le vecteur de Runge-Lenz peut s'écrire :

\vec e = \vec u + {\vec L_0 \wedge \vec v \over GMm} = -\vec u - \vec r \cdot {2E \over GMm} + \vec v{1 \over GM} {dr \over dt}r  ;

ce qui en remplaçant dans l'équation précédente donne :

{d^2\vec {OM} \over dT^2}+ \vec {OM} = -\vec e \cdot {GMm \over 2E}: = +\vec e \cdot a

équation d'un oscillateur harmonique, de centre de force excentré !

Bien sûr , tout cela n'est, à ce niveau de sophistication, que poudre aux yeux, puisque l'on a reconnu en T la définition de l'anomalie excentrique et donc que :  OM = r = a(1-e \cos T) \quad \text {et} \quad \omega.t = T - e \sin T .

Mais dans une analyse de symétrie plus soigneuse, il est important de savoir faire ce changement d'échelle.

Page générée en 0.160 seconde(s) - site hébergé chez Contabo
Ce site fait l'objet d'une déclaration à la CNIL sous le numéro de dossier 1037632
A propos - Informations légales
Version anglaise | Version allemande | Version espagnole | Version portugaise