Triéthylborane - Définition

Source: Wikipédia sous licence CC-BY-SA 3.0.
La liste des auteurs de cet article est disponible ici.
Triéthylborane
Triéthylborane
Général
Nom IUPAC
No CAS 97-94-9
No EINECS 202-620-9
PubChem 7357
SMILES
InChI
Apparence liquide jaune pale
Propriétés chimiques
Formule brute C6H15B  
Masse molaire 97,994 ± 0,013 g·mol-1

Propriétés physiques
fusion -93 °C
ébullition 95 °C
Masse volumique 0,677 g·cm-3 à 25 °C, Liquide
T° d’auto-inflammation -20 °C
Précautions
Directive 67/548/EEC
Corrosif
C
Facilement inflammable
F
Phrases R : 17, 34,
Phrases S : 7, 23, 26, 36/37/39, 43, 45,
NFPA 704

Symbole NFPA 704

3
3
2
W
Unités du SI & CNTP, sauf indication contraire.

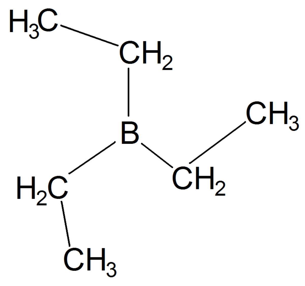
Le triéthylborane ou triéthylebore est un composé de formule (CH3CH2)3B

C'est la version triéthylée de la molécule de borane.

Page générée en 0.136 seconde(s) - site hébergé chez Contabo
Ce site fait l'objet d'une déclaration à la CNIL sous le numéro de dossier 1037632
A propos - Informations légales - Signaler un contenu
Version anglaise | Version allemande | Version espagnole | Version portugaise