Vélocimétrie laser - Définition

Source: Wikipédia sous licence CC-BY-SA 3.0.
La liste des auteurs de cet article est disponible ici.

Introduction

La vélocimétrie laser (ou anémométrie laser Doppler (LDA)) est une technique optique fondée sur la mesure du décalage en fréquence de faisceaux laser éclairant des particules très fines entraînées par un fluide (tel que l'air ou l'eau). Ainsi, en mesurant la vitesse des particules dans le fluide, on peut connaître la vitesse du fluide.

La vélocimétrie laser est parfois préférée aux autres techniques de mesures de vitesses d'écoulement tel que le tube de Pitot, car le capteur se trouve à l'extérieur du flux mesuré et ne perturbe donc pas la mesure.

Vélocimétrie Doppler globale

Méthode

Ce vélocimètre se base comme son nom l'indique sur le principe de l'effet Doppler. Il faut illuminer le fluide ensemencé de fines particules par un plan d'une onde électromagnétique dont la fréquence est parfaitement connue (attention ne pas confondre avec une onde magnétique plane). Les particules vont alors diffuser cette onde avec une fréquence différente, qui est mesurée et comparée a celle de l'onde d'origine. La vitesse des particules, donc du fluide, peut être déterminée grâce à cette différence de fréquence.

Remarque: la vélocimétrie Doppler est ici utilisée pour mesurer la vitesse de petites particules mais elle peut aussi être utilisée pour mesurer la vitesse d'objets plus volumineux, voir le radar par effet Doppler.

Montage

On peut distinguer sur le schéma :

  • La source de l'onde qui est ensuite diffusée dans un plan ;
  • L'écoulement qui traverse le plan de l'onde ;
  • L'onde diffusée par les particules ;
  • Le système qui mesure la fréquence de l'onde diffusée ;
  • Le système qui compare les fréquences.

Détermination de la vitesse

On commence par poser les différentes notations :

  • f0 fréquence de l'onde émise
  • f1 fréquence de l'onde reçue
  • \vec{E} vecteur unitaire dans le sens de la propagation de l'onde émise
  • \vec{R} vecteur unitaire dans le sens de la mesure
  • \vec{V} vecteur vitesse de la particule
Velocimetrie doppler notations.png

Les calculs sont faits dans un cas non relativiste (le fluide, donc les particules, possède une vitesse faible devant celle de la lumière) et basés sur les résultats obtenus ici.

Il y a plusieurs étapes dans le calcul :

  • l'onde est émise à la fréquence f0
  • la particule reçoit une onde à la fréquence apparente f_{i} = f_{0} \cdot \left(1 - \frac{\vec{V}\cdot\vec{E}}{c} \right) (cas d'un émetteur immobile et d'un récepteur mobile). L'onde est diffusée à cette fréquence dans le référentiel de la particule.
  • le récepteur reçoit alors une onde à la fréquence f_{1} = f_{i} \cdot \left( \frac{1}{1-\dfrac{\vec{V}\cdot\vec{R}}{c}}\right) \backsim f_{i} \cdot \left( 1 + \frac{\vec{V}\cdot\vec{R}}{c}\right) (cas d'un récepteur immobile et d'un émetteur mobile).

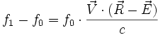
En développant cette expression on trouve finalement f_{1}-f_{0} = f_{0}\cdot\frac{\vec{V}\cdot(\vec{R}-\vec{E})}{c} . En mesurant la différence de fréquence, la valeur de la projection de la vitesse sur l'axe \vec{R}-\vec{E} peut donc être calculée.

Vélocimétrie laser 2 points (L2F)

Le faisceau laser est séparé en deux par un prisme de Rochon pour réaliser une barrière optique. La lentille qui se trouve juste après permet de refocaliser les deux faisceaux sur la zone que l'on veut étudier. Les deux faisceaux sont focalisés en deux points séparés dont la distance (de quelques dizaines de microns) est parfaitement connue.

Lorsque les particules passent au travers des faisceaux laser focalisés, il se crée un phénomène de rétrodiffusion : une faible quantité de lumière est retournée et peut être analysée par deux capteurs, un pour chacun des faisceaux.

Des systèmes optiques tels qu'un microscope permettent d'agrandir l'image des capteurs (ici on utilise des Photomultiplicateurs mais on peut également utiliser des Channel PhotoMultiplier).

Le traitement des données consiste à mesurer l'intervalle de temps (dit temps de vol) entre les deux impulsions délivrées par les deux photomultiplicateurs.

Page générée en 0.207 seconde(s) - site hébergé chez Contabo
Ce site fait l'objet d'une déclaration à la CNIL sous le numéro de dossier 1037632
A propos - Informations légales - Signaler un contenu
Version anglaise | Version allemande | Version espagnole | Version portugaise