Espace anti de Sitter - Définition

Source: Wikipédia sous licence CC-BY-SA 3.0.
La liste des auteurs de cet article est disponible ici.

Introduction

En mathématiques et en physique, l'espace anti de Sitter n-dimensionnel, noté AdSn, est l'analogue lorentzien de l'espace hyperbolique n-dimensionnel. Il est pourvu d'une symétrie maximale et est une variété lorentzienne avec une courbure scalaire négative constante.

Dans le langage de la relativité générale, l'espace anti de Sitter est une solution de vide à l'équation de champ d'Einstein avec une constante cosmologique Λ négative.

L'espace anti de Sitter est la courbure analogue négative de l'espace de Sitter, nommée ainsi en l'honneur de Willem de Sitter. Il est utilisé dans la correspondance AdS/CFT.

Définitions et propriétés

L'espace anti de Sitter peut être défini comme une sous-variété de R2,n − 1 en codimension 1. Prenons l'espace R2,n − 1 avec la métrique standard :

\mathrm ds^2 = -\mathrm dx_0^2 -\mathrm dx_1^2 +\sum_{i=2}^n\mathrm dx_i^2 .

L'espace anti de Sitter est la sous-variété décrite par l'hyperboloïde

-x_0^2 -x_1^2+ \sum_{i=2}^n x_i^2 = -\alpha^2

α est une sorte de constante non-nulle avec des dimensions de longueur. La métrique sur l'espace anti de Sitter est la métrique induite par la métrique ambiante. On peut vérifier qui la métrique induite n'est pas dégénérée et a la signature lorentzienne.

L'espace anti de Sitter peut aussi être défini comme le quotient O(2,n − 1) / O(1,n − 1) de deux groupes orthogonaux indéfinis, ce qui montre que c'est un espace symétrique non-riemannien.

L'espace de Sitter n-dimensionnel a O(n − 1,2) comme groupe isométrique. Il n'est pas simplement connexe ; il est homéomorphe au produit S^1 \times R^{n-1} , donc son groupe fondamental est l'ensemble des nombres entiers, et il a un revêtement universel contractile. L'espace-temps anti de Sitter a des temps fermés comme des boucles, contrairement a son revêtement universel qui n'en a pas. Certains auteurs utilisent l'espace anti de Sitter pour se réferer au revêtement universel simplement connexe.

L'espace anti de Sitter comme espace homogène et symmétrique

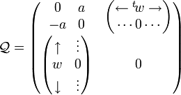
De la même manière que la sphère S^2=\tfrac{ O(3) }{ O(2) } , l'espace anti de Sitter peut être vu comme un quotient de deux groupes \mathrm{AdS}_n=\tfrac{ O(2,n-1) }{ O(1,n-1) } . Cette formulation du quotient donne à AdSn une structure d'espace homogène. L'algèbre de Lie de O(1,n) est donnée par les matrices

 \mathcal{H}= \begin{pmatrix}    \begin{matrix}     0&0\\     0&0    \end{matrix}             & \begin{pmatrix}          \cdots 0\cdots\\      \leftarrow {}^t\!v\rightarrow              \end{pmatrix}\\   \begin{pmatrix}       \vdots & \uparrow\\      0  & v \\     \vdots & \downarrow   \end{pmatrix} & B  \end{pmatrix} ,

B est une matrice diagonale symétrique. Une complémentarité dans l'algèbre de Lie de \mathcal{G}=O(2,n) est

  \mathcal{Q}=  \begin{pmatrix}    \begin{matrix}     0&a\\     -a&0    \end{matrix}             & \begin{pmatrix}              \leftarrow {}^t\!w\rightarrow \\       \cdots 0\cdots\\              \end{pmatrix}\\   \begin{pmatrix}      \uparrow  & \vdots\\      w   & 0\\    \downarrow & \vdots    \end{pmatrix} & 0  \end{pmatrix} .

Ces deux \mathcal{G}=\mathcal{H}\oplus\mathcal{Q} accomplis, la supputation explicite de la matrice montre que [\mathcal{H},\mathcal{Q}]\subseteq\mathcal{Q}, \quad [\mathcal{Q},\mathcal{Q}]\subseteq\mathcal{H} . Donc, l'espace anti de Sitter est un espace homogène.

Page générée en 0.182 seconde(s) - site hébergé chez Contabo
Ce site fait l'objet d'une déclaration à la CNIL sous le numéro de dossier 1037632
A propos - Informations légales - Signaler un contenu
Version anglaise | Version allemande | Version espagnole | Version portugaise