Électrostatique magnétostatique (formulaire) - Définition

Source: Wikipédia sous licence CC-BY-SA 3.0.
La liste des auteurs de cet article est disponible ici.

Magnétostatique

Champ magnétique

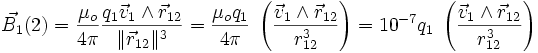
Le champ magnétique créé en 2 par une charge ponctuelle q1 située en 1 (la charge pouvant être positive ou négative) et animée d'une vitesse v1, en unités SI :

\vec{B_1}(2) = \frac{\mu_o}{4 \pi }\frac{q_1\vec{v}_{1}\wedge\vec{r}_{12}}{\|\vec{r}_{12}\|^3} = \frac{\mu_o q_1}{4 \pi }\;\left(\frac{\vec{v}_{1}\wedge\vec{r}_{12}}{r_{12}^3}\right)= 10^{-7} q_1 \;\left(\frac{\vec{v}_{1}\wedge\vec{r}_{12}}{r_{12}^3}\right)

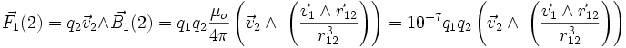
La force s'exerçant sur une charge q2 plongée dans ce champ au point 2 vaut alors :

 \vec{F_1}(2) = q_2 \vec{v}_{2}\wedge\vec{B_1}(2) =q_1q_2\frac{\mu_o}{4 \pi }\left( \vec{v}_{2}\wedge\;\left(\frac{\vec{v}_{1}\wedge\vec{r}_{12}}{r_{12}^3}\right)\right)=10^{-7} q_1q_2 \left( \vec{v}_{2}\wedge\;\left(\frac{\vec{v}_{1}\wedge\vec{r}_{12}}{r_{12}^3}\right)\right)

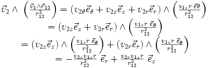
Si on essaie de se représenter cela en prenant pour simplifier q1 en O avec v1 suivant Oz, on a en coordonnées cylindriques :

est suivant \vec{e}_{\theta}

et donc la force résultante est dans le plan (\vec{e}_{z},\vec{e}_{r}) comme le confirme le calcul suivant : exprimons v2 en coordonnées cylindriques : \vec{v}_2=v_{2\theta}\vec{e}_{\theta}+v_{2z}\vec{e}_{z}+v_{2r}\vec{e}_{r} et remplaçons le dans l'expression :

 \begin{matrix} \\ \vec{v}_{2}\wedge \;\left(\frac{\vec{v}_{1}\wedge\vec{r}_{12}}{r_{12}^3}\right)=\left(v_{2\theta}\vec{e}_{\theta}+v_{2z}\vec{e}_{z}+v_{2r}\vec{e}_{r}\right)\wedge \left(\frac{v_{1z}r \; \vec{e}{\theta}}{r_{12}^3}\right) \\ \;=\left(v_{2z}\vec{e}_{z}+v_{2r}\vec{e}_{r}\right)\wedge \left(\frac{v_{1z}r \; \vec{e}_{\theta}}{r_{12}^3}\right) \\ \;=\left(v_{2z}\vec{e}_{z}\right)\wedge \left(\frac{v_{1z}r \; \vec{e}_{\theta}}{r_{12}^3}\right) +\left(v_{2r}\vec{e}_{r}\right)\wedge \left(\frac{v_{1z}r \; \vec{e}_{\theta}}{r_{12}^3}\right) \\ \;=-\frac{v_{2z}v_{1z}r} {r_{12}^3}\; \vec{e}_r+\frac{v_{2r}v_{1z}r}{r_{12}^3} \; \vec{e}_z  \\ \end{matrix}

On a là le classique « deux courant parallèles et de même sens s'attirent » puisque deux charges en mouvement suivant une même direction s'attirent par effets magnétiques de l'une sur l'autre.

Champ rotationnel d'un potentiel vecteur

Montrons que : \vec{B_1}(2) = \frac{\mu_o}{4 \pi }\frac{q_1\vec{v}_{1}\wedge\vec{r}_{12}}{\|\vec{r}_{12}\|^3} = \frac{\mu_o q_1}{4 \pi }\;\left(\frac{\vec{v}_{1}\wedge\vec{r}_{12}}{r_{12}^3}\right)= 10^{-7} q_1 \;\left(\frac{\vec{v}_{1}\wedge\vec{r}_{12}}{r_{12}^3}\right)

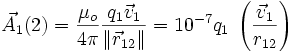
est le rotationnel de : \vec{A_1}(2) = \frac{\mu_o}{4 \pi }\frac{q_1\vec{v}_{1}}{\|\vec{r}_{12}\|} = 10^{-7} q_1 \;\left(\frac{\vec{v}_{1}}{r_{12}}\right)

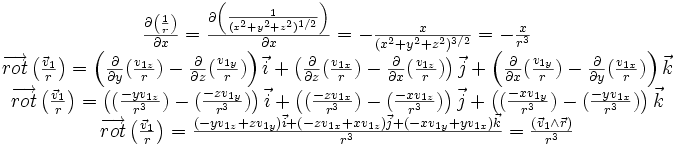
Pour simplifier plaçons q1 en O, laissons les constantes physiques de côté et remarquons que

 \begin{matrix} \\ \frac {\partial \left( \frac{1}{r} \right)} {\partial x}= \frac {\partial \left( \frac{1}{(x^2+y^2+z^2)^{1/2}} \right)} {\partial x}= -  \frac {x}{(x^2+y^2+z^2)^{3/2}}=-  \frac {x}{r^3 }  \\ \overrightarrow{rot} \left(\frac{\vec{v}_{1}}{r}\right)  =  \left(\frac {\partial} {\partial y}(\frac{v_{1z}}{r}) -\frac {\partial} {\partial z}(\frac{v_{1y}}{r})\right) \vec {i}+ \left(\frac {\partial} {\partial z}(\frac{v_{1x}}{r}) -\frac {\partial} {\partial x}(\frac{v_{1z}}{r})\right) \vec {j} +\left(\frac {\partial} {\partial x}(\frac{v_{1y}}{r}) -\frac {\partial} {\partial y}(\frac{v_{1x}}{r})\right) \vec {k} \\ \overrightarrow{rot} \left(\frac{\vec{v}_{1}}{r}\right)  =  \left((\frac{-yv_{1z}}{r^3}) -(\frac{-zv_{1y}}{r^3})\right) \vec {i}+ \left((\frac{-zv_{1x}}{r^3}) -(\frac{-xv_{1z}}{r^3})\right) \vec {j} +\left((\frac{-xv_{1y}} {r^3}) -(\frac{-yv_{1x}}{r^3})\right) \vec {k} \\ \overrightarrow{rot} \left(\frac{\vec{v}_{1}}{r}\right)  =  \frac{\left(-yv_{1z}+zv_{1y} \right) \vec {i}+ \left(- zv_{1x}+xv_{1z} \right) \vec {j} +\left( -xv_{1y}+yv_{1x} \right) \vec {k}}{r^3}=  \frac{\left( \vec{v}_{1}\wedge \vec{r}\right) }{r^3} \end{matrix}

Ceci est un résultat d'analyse vectorielle, de « géométrie » ; avec le facteur des constantes physiques : \frac{\mu_o}{4 \pi }q1 on obtient :

 \overrightarrow{rot} \left(\frac{\vec{v}_{1}}{r}\right)  =  \frac{\vec{v}_{1}\wedge \vec{r} }{r^3} \ \Longleftrightarrow \ \vec{B_1}(2) = \overrightarrow{rot}\vec{A_1}(2)

qui est une relation exprimant que le champ magnétique peut se déduire ou « dérive » d'un potentiel appelé le potentiel vecteur.

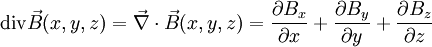
Champ à divergence nulle

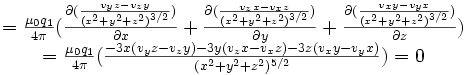
 \mathrm{div} \vec {B}(x, y, z) = \vec \nabla \cdot \vec{B}(x, y, z) = \frac {\partial B_x} {\partial x} + \frac {\partial B_y} {\partial y} + \frac {\partial B_z} {\partial z}
 \begin{matrix} = \frac{\mu_0 q_1}{4 \pi }(\frac {\partial (\frac{v_y z-v_zy}{(x^2+y^2+z^2)^{3/2}})} {\partial x} +   \frac {\partial (\frac{v_zx-v_xz}{(x^2+y^2+z^2)^{3/2}})} {\partial y} +   \frac {\partial (\frac{v_xy-v_yx}{(x^2+y^2+z^2)^{3/2}})} {\partial z})  \\ = \frac{\mu_0 q_1}{4 \pi }   (\frac {-3x(v_y z - v_z y)-3y(v_z x - v_x z)-3z(v_x y - v_y x)}{(x^2+y^2+z^2)^{5/2}} )=0 \end{matrix}

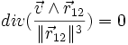
On a bien montré que les champs en \frac{\vec v \wedge\vec{r}_{12}}{\|\vec{r}_{12}\|^3} sont tels que leur divergence est nulle :  div (\frac{\vec v \wedge\vec{r}_{12}}{\|\vec{r}_{12}\|^3})  = 0

Autre notation :  div \left(\frac{\vec v \wedge\vec {PM}}{\|\vec {PM}\|^3}\right)  = 0 et donc :  div \frac{\mu_0 q_1}{4 \pi }\left(\frac{\vec v \wedge\vec {PM}}{\|\vec {PM}\|^3}\right)  =\mathrm{div} \vec {B}(x,y,z) = 0

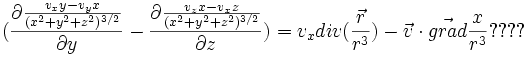
Champ à rotationnel nul

  (\frac {\partial \frac{v_xy-v_yx}{(x^2+y^2+z^2)^{3/2}}}{\partial y}-\frac {\partial \frac{v_zx-v_xz}{(x^2+y^2+z^2)^{3/2}}}{\partial z})= v_x div(\frac{\vec r}{r^3}) - \vec v\cdot \vec {grad}\frac{x}{r^3}????

Distribution continue de courant

  \vec{B}(x, y, z) = \frac{\mu_o}{4 \pi }\int\!\!\!\!\int\!\!\!\!\int\frac{\rho(x_i, y_i, z_i)\vec{v} \wedge \vec{r}}{r^3} dx_idy_idz_i = \vec{rot}\left(\frac{\mu_o}{4 \pi }\int\!\!\!\!\int\!\!\!\!\int\frac{\rho(x_i, y_i, z_i)\vec v}{r} dx_idy_idz_i \right)
Page générée en 0.178 seconde(s) - site hébergé chez Contabo
Ce site fait l'objet d'une déclaration à la CNIL sous le numéro de dossier 1037632
A propos - Informations légales - Signaler un contenu
Version anglaise | Version allemande | Version espagnole | Version portugaise