Réduction de Gauss - Définition

Source: Wikipédia sous licence CC-BY-SA 3.0.
La liste des auteurs de cet article est disponible ici.

Introduction

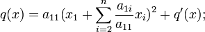
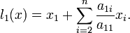
En mathématiques, la réduction de Gauss est un algorithme permettant de représenter toute forme quadratique sur un espace vectoriel de dimension finie (sur un corps commutatif de caractéristique différente de deux) comme une combinaison linéaire de carrés de formes linéaires indépendantes. La méthode employée est proche de la mise sous forme canonique d'une équation du second degré. Cet algorithme est nommé ainsi en l'honneur du mathématicien Carl Friedrich Gauss.

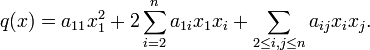
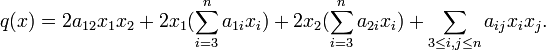
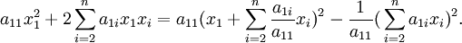
Enoncé

Réduction de Gauss — Pour toute forme quadratique sur un espace vectoriel de dimension finie, il existe un entier naturel r, des formes linéaires l_1,l_2,\ldots,l_r indépendantes et des éléments c_1,\ldots, c_r du corps de base, tous non nuls, tels que

q=\sum_{i=1}^r c_i l_i^2.

En langage matriciel, cela signifie que toute matrice symétrique est congruente à une matrice diagonale, c'est-à-dire que pour toute matrice symétrique M d'ordre n, il existe une matrice inversible Q telle que tQMQ soit diagonale (les coefficients diagonaux sont les c_1,\ldots, c_r complétés par des zéros si r < n).

L'entier r est le rang de la forme quadratique. C'est aussi le rang de n'importe quelle matrice représentant cette forme dans une base.

Contrairement aux valeurs propres, les ci ne sont pas uniques, même à permutation près.

Applications

Si le corps de base est \mathbb{C} le corps des nombres complexes ou plus généralement un corps algébriquement clos, il existe r formes linéaires indépendantes l_1,\ldots,l_r telles que

q=\sum_{i=1}^rl_i^2.

Autrement dit, sous l'action du groupe linéaire, les formes quadratiques sont classées par leur rang. En langage matriciel, deux matrices symétriques complexes sont congruentes si et seulement si elles sont même rang.

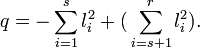
Si le corps de base est \mathbb{R}, le corps des nombres réels, il faut prendre en compte le signe des ci. Il existe un entier s (compris entre 0 et r) tel que

q=-\sum_{i=1}^sl_i^2+\big(\sum_{i=s+1}^rl_i^2\big).

Cet entier ne dépend pas de la décomposition d'après la loi d'inertie de Sylvester.

  • Si s=0, la forme quadratique est positive (définie positive si et seulement si de plus r=n),
  • si s=r elle est négative (définie négative si et seulement si de plus r=n).

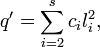
Si le corps de base est \mathbb{Q} le corps des nombres rationnels ou \mathbb{F}_q un corps fini, la réduction de Gauss ne permet pas d'effectuer complètement la classification des formes quadratiques.

Elle donne un algorithme pour trouver une base dans laquelle la matrice de q est diagonale.

Page générée en 1.036 seconde(s) - site hébergé chez Contabo
Ce site fait l'objet d'une déclaration à la CNIL sous le numéro de dossier 1037632
A propos - Informations légales - Signaler un contenu
Version anglaise | Version allemande | Version espagnole | Version portugaise