Température inverse - Définition

Source: Wikipédia sous licence CC-BY-SA 3.0.
La liste des auteurs de cet article est disponible ici.

Introduction

La température inverse, notée β et parfois dite bêta thermodynamique, est une grandeur physique utilisée en physique statistique. Elle reliée à la température T d'un système par β = 1/(kT), où k est la constante de Boltzmann. Son unité est le J-1.

Interprétation

Physique statistique

On considère un système composé deux sous-systèmes, d'énergies E et E. Le nombre de micro-états du système peut s'écrire en fonction de ceux des sous-systèmes :

\Omega(E_1+E_2) = \Omega(E_1) \times \Omega(E_2) .

Cette relation est caractéristique de la fonction exponentielle et pousse à poser

\Omega(E) \propto \exp -\beta E ,

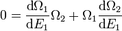
β est à relier à la température du système lorsqu'il est à l'équilibre thermodynamique. Une autre version de l'interprétation utilise le fait que Ω est maximum à l'équilibre thermodynamique, ainsi que la relation E = E+E pour un système isolé. Dès lors,

0 = \frac{\text{d}\Omega_1}{\text{d}E_1} \Omega_2 + \Omega_1\frac{\text{d}\Omega_2}{\text{d}E_1}

ce qui, avec dE = −dE, donne

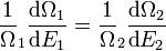
\frac 1\Omega_1 \frac{\text{d}\Omega_1}{\text{d}E_1} = \frac 1\Omega_2 \frac{\text{d}\Omega_2}{\text{d}E_2} .

Cela motive l'écriture d'un paramètre

\beta = \frac{\text{d}\log \Omega}{\text{d}E}

qui est relié à la température, car à l'équilibre β = β.

Formulaire

Principales relations entre la température inverse et les variables d'un système.
Contexte Formule Notations
Thermodynamique
Théorie cinétique des gaz
Physique statistique
\beta = \frac 1{kT}
  • T : température
  • k : constante de Boltzmann
Ensemble microcanonique \beta = \frac{\text{d} \log \Omega}{\text{d}E}
  • Ω : nombre de micro-états
  • E : énergie du système.
Ensemble canonique E = \frac{\text{d}\log Z}{\text{d}\beta}
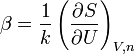
Thermodynamique \beta = \frac 1k \left(\frac{\partial S}{\partial U}\right)_{V,n}
Page générée en 0.274 seconde(s) - site hébergé chez Contabo
Ce site fait l'objet d'une déclaration à la CNIL sous le numéro de dossier 1037632
A propos - Informations légales - Signaler un contenu
Version anglaise | Version allemande | Version espagnole | Version portugaise