Décalage d'Einstein - Définition

Source: Wikipédia sous licence CC-BY-SA 3.0.
La liste des auteurs de cet article est disponible ici.

Introduction

La fréquence d'un photon se décale en fonction de la gravité

Le décalage d'Einstein est un effet prédit par les équations d'Albert Einstein de la relativité générale. D'après cette théorie, une fréquence produite dans un champ de gravitation est vue décalée vers le rouge (c'est-à-dire diminuée) quand elle est observée depuis un lieu où la gravitation est moindre.

La cause de ce décalage des fréquences est dans la dilatation du temps créée par la gravitation. Mais une autre explication peut être fournie par la contraction des longueurs due à la gravitation, appliquée aux longueurs d'onde. Ces deux explications sont équivalentes car la conservation de l'intervalle d'espace-temps montre l'équivalence de ces deux phénomènes.

Nous nous placerons ici dans le cas particulier où le champ de gravitation n'est dû qu'à un seul corps massif, plus ou moins ponctuel, ce qui permet d'utiliser la métrique de Schwarzschild. Le cas général n'est pas beaucoup plus compliqué et se trouve dans tout livre cité en référence.

Gravitation et temps propre

En relativité générale, en utilisant la métrique de Schwarzschild, le coefficient de la coordonnée temporelle vaut

g_{00} = 1 - \frac{2GM}{rc^2} ,

avec G la constante gravitationnelle, c la vitesse de la lumière, M la masse du corps développant un potentiel gravitationnel et r la distance radiale entre le centre de ce corps et le lieu considéré.

Le temps propre entre deux événements se produisant au même point de l'espace-temps étant noté , on a

\mathrm ds^2 \equiv c^2\mathrm d\tau^2 = g_{00}c^2\mathrm dt^2 ,

dt est l'intervalle de temps mesuré dans le référentiel de l'observateur.

En notant  R_S = \frac{2GM}{c^2} le rayon de Schwarzschild, on a

\mathrm d\tau = \sqrt{ 1 - \frac{R_S}{r}} \mathrm dt < \mathrm dt .

L'intervalle de temps observé est donc supérieur à l'intervalle de temps propre. Ce phénomène est appelé dilatation du temps d'origine gravitationnelle.

Dans le cas  \frac{R_S}{r} \ll 1 (champ de gravitation faible), on peut écrire

\mathrm d\tau = \sqrt{ 1 - \frac{R_S}{r}}\mathrm dt \approx \left( 1 - \frac{R_S}{2r} \right)\mathrm dt < \mathrm dt .

Confirmation expérimentale

En 1959, Pound et Rebka ont expérimenté avec succès cette prévision en utilisant l'effet Mössbauer sur une différence d'altitude de 22,6 mètres dans une tour de l'université Harvard.

Depuis, cet effet est utilisé dans l'interprétation des spectres électromagnétiques des étoiles.

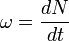
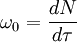
Fréquence propre et fréquence observée

Une fréquence mesurant le nombre d'événements \ N par unité de temps, la fréquence propre est \omega_0 = \frac{dN}{d\tau} et la fréquence observée est \omega = \frac{dN}{dt} . On en tire : \omega = \omega_0 . \sqrt{ 1 - \frac{R_S}{r} } < \omega_0 . La fréquence observée est donc inférieure à la fréquence propre.

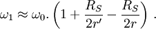
Mais la fréquence observée considérée jusqu'ici est liée au temps du référentiel, idéal et non influencé par un champ de gravitation. La réalité est en général que l'observateur est lui-même soumis à un champ de gravitation 1 - \frac{R_S}{r'} \, . Dans ce cas, en notant \ \omega_1 la fréquence mesurée par l'observateur, on doit écrire \omega = \omega_1 . \sqrt{ 1- \frac{R_S}{r'} } = \omega_0 . \sqrt{ 1- \frac{R_S}{r} } \, , cela donne \omega_1 = \omega_0 .\frac{ \sqrt{ 1- \frac{R_S}{r} } }{ \sqrt{ 1- \frac{R_S}{r'} } } \, .

Dans le cas où \textstyle  \frac{R_S}{r} \ll 1 et \textstyle  \frac{R_S}{r'} \ll 1 (champs de gravitation faibles), on peut écrire \omega_1 \approx \omega_0 . \left( 1 +  \frac{R_S}{2r'} - \frac{R_S}{2r} \right) \, .

Ainsi \ \omega_1 < \omega_0 si \ r' > r , c'est-à-dire si l'observateur est plus éloigné du corps massif, ou encore s'il subit une gravitation moindre.

Dans ce cas, la fréquence observée est plus petite que la fréquence propre ; s'il s'agit d'une fréquence lumineuse, la lumière semble décalée vers le rouge. Dans le cas où le champ de gravitation de l'observateur est plus grand que celui du lieu d'émission de la fréquence, le décalage de la fréquence est vers le bleu.

Lev Landau explique que la gravitation ne change ni le temps propre ni la fréquence propre, mais que c'est la différence de gravitation entre l'émetteur et l'observateur qui fait que celui-ci ne peut obtenir les mêmes mesures que s'il était sur place.

Page générée en 0.244 seconde(s) - site hébergé chez Contabo
Ce site fait l'objet d'une déclaration à la CNIL sous le numéro de dossier 1037632
A propos - Informations légales - Signaler un contenu
Version anglaise | Version allemande | Version espagnole | Version portugaise