Loi log-normale - Définition

Source: Wikipédia sous licence CC-BY-SA 3.0.
La liste des auteurs de cet article est disponible ici.

Introduction

Loi Log-normale

Plot of the Lognormal PMF

Plot of the Lognormal CMF

Paramètres σ > 0
-\infty < \mu < \infty
Support  [0; +\infty)\!
Densité de probabilité (fonction de masse) \frac{1}{x\sigma\sqrt{2\pi}}\exp\left(-\frac{\left[\ln(x)-\mu\right]^2}{2\sigma^2}\right)
Fonction de répartition \frac{1}{2}+\frac{1}{2} \mathrm{erf}\left[\frac{\ln(x)-\mu}{\sigma\sqrt{2}}\right]
Espérance e^{\mu+\sigma^2/2}
Médiane (centre) eμ
Mode e^{\mu-\sigma^2}
Variance (e^{\sigma^2}\!\!-1) e^{2\mu+\sigma^2}
Asymétrie (statistique) (e^{\sigma^2}\!\!+2)\sqrt{e^{\sigma^2}\!\!-1}
Kurtosis
(non-normalisé)
\frac{e^{6\sigma^2}-4e^{3\sigma^2}+6e^{\sigma^2}-3}{e^{4\mu+2\sigma^2}(e^{\sigma^2}-1)^4}
Entropie \frac{1}{2}+\frac{1}{2}\ln(2\pi\sigma^2) + \mu

En probabilité et statistique, une variable aléatoire X est dite suivre une loi log-normale de paramètres μ et σ si la variable Y = ln(X) suit une loi normale de paramètres μ et σ.

Cette loi est parfois également appelée loi de Galton.

Une variable peut être modélisée par une loi log-normale si elle est le résultat de la multiplication d'un grand nombre de petits facteurs indépendants.

Caractérisation

Densité

La loi log-normale de paramètres μ et σ admet pour densité

f(x;\mu,\sigma) = \frac{e^{-(\ln x - \mu)^2/(2\sigma^2)}}{x \sigma \sqrt{2 \pi}}

pour x > 0. μ et σ sont la moyenne et l'écart type du logarithme de la variable (puisque par définition, le logarithme de la variable est distribué selon une loi normale de moyenne μ et d'écart-type σ).

Fonction de répartition

\frac{1}{2}+\frac{1}{2} \mathrm{erf}\left[\frac{\ln(x)-\mu}{\sigma\sqrt{2}}\right]

Moments

Tous les moments existent et sont donnés par:

\mu_k=e^{k\mu+k^2\sigma^2/2}.

Espérance et écart-type

L'espérance est

\mathrm{E}(X) = e^{\mu + \sigma^2/2}

et la variance est

\mathrm{Var}(X) = (e^{\sigma^2} - 1) e^{2\mu + \sigma^2}.\,

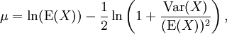
Des relations équivalentes permettent d'obtenir μ et σ étant données l'espérance et l'écart-type:

\mu = \ln(\mathrm{E}(X))-\frac{1}{2}\ln\left(1+\frac{\mathrm{Var}(X)}{(\mathrm{E}(X))^2}\right),
\sigma^2 = \ln\left(\frac{\mathrm{Var}(X)}{(\mathrm{E}(X))^2}+1\right).

Interprétation

Cette loi de distribution est particulièrement utilisée en analyse quantitative pour représenter les cours des instruments financiers (notamment actions, cours de change, taux d'intérêt, métaux précieux). Les cours ne peuvent pas être négatifs et il est plus pertinent d'exprimer les variations sous forme relative en pourcentage, donc les cours sont représentés généralement grossièrement par une loi log-normale.

Page générée en 0.204 seconde(s) - site hébergé chez Contabo
Ce site fait l'objet d'une déclaration à la CNIL sous le numéro de dossier 1037632
A propos - Informations légales - Signaler un contenu
Version anglaise | Version allemande | Version espagnole | Version portugaise